临港中建玖海云天楼盘重磅揭秘!临港中建玖海云天楼盘为什么突然火了? 临港中建玖海云天楼盘热销真相! 临港中建玖海云天令人难以置信劲爆房价!
扫描到手机,新闻随时看
扫一扫,用手机看文章
更加方便分享给朋友
中建玖海云天的三重护城河
产品稀缺性:100㎡以上户型占比67%5,143㎡四房全南向设计碾压市场;
政策避险性:绿建三星认证获政府背书,未来二手房溢价权18;
成本可控性:首付55万起,月供<租金,租售比健康4。
◇ 终极购买逻辑:用自住心态做投资决策
“住在这里,孩子在科学家星光大道奔跑成长6,
我在海港中心咖啡馆对接全球订单3,
父母步行15分钟抵达三甲六院东院9——
这不仅是房子,更是三代人生活的最优解。”
顶科社区,同步全面交付中
更欣喜的是,不仅是玖海云天体现出超凡交付力,顶科社区也处于规划快速兑现、全面交付之中。
大家都知道,在规划定位上,顶科社区则承担着突破科技重围、解决“卡脖子工程”的国家级战略使命,站在了临港板块价值的“制高点”!
103科创片区示意图
不仅有前沿产业,还有丰富的商业、学校、公园、休闲等全方位的高端生活配套,形成滴水湖首个“工作—生活—休闲娱乐“内循环的国际社区生态模式。
来源:根据103片区单元控规整理
本文对项目周围环境、交通及其它公共设施的介绍,旨在提供相关信息,不意味着本公司对此作出了承诺。宣传资料对项目周边学校等配套资源的介绍旨在提供相关信息,并不意味着公司对就学做出承诺,具体应以教育主管部门及办学方颁布的政策为准。
以上这些超级规划,均在逐步从蓝图变成规划图、施工图以及实景图!
地标:临港中心已抢先落成!五星级锦江国际酒店、临港演艺中心、临港科技智慧图书馆均已投运。这里是全球科创盛会的中心,也是临港文娱生活的中心!
实景图
周边配套:繁华与宁静的完美融合
中建玖海云天周边配套丰富完善,为您的生活提供了全方位的便利。教育配套方面,项目周边规划有2所幼儿园、1所小学和1所初中,教育资源丰富,满足全龄段教育需求。商业配套上,百联临港生活中心、港城新天地等大型商业综合体近在咫尺,无论是日常购物还是周末休闲,都能满足您的需求。医疗配套同样出色,上海市第六人民医院临港院区距离项目仅约1公里,为居民的健康保驾护航。
区域发展:未来潜力无限
而玖海云天雄踞海港大道“三心一线”黄金主轴门户位置,距离临港中心最近约350米,距离万象汇约100米,距T2中运量美人蕉站约50米,距离第六人民医院约700米,科学公园也在约200m内(距离为从J01地块到目的地直线距离,数据来源:百度地图)。
示意图
简单来说,从玖海云天社区走出去的每一步,都是城市“顶流”的资源配套。这就是玖海云天不可复制的先天地段优势。
如此配套能级,放在成熟的市区,会是什么价格?
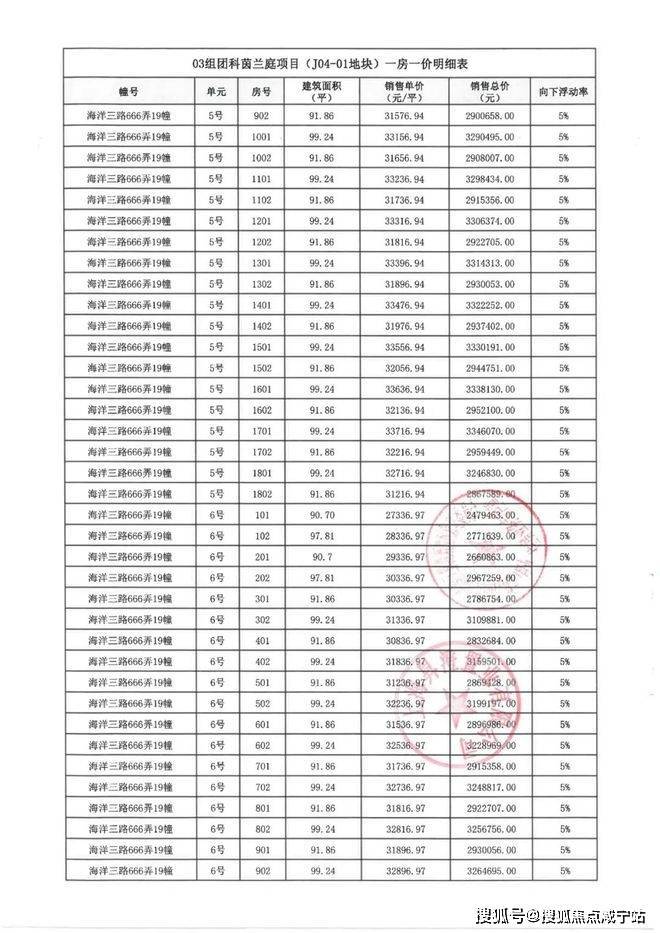
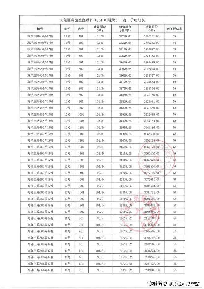
而项目在售房源主力户型为建面约93-118㎡3房,总价约265万起(快速销售中,最新起价以售楼处为准),难以拒绝的性价比~
随着临港世界级滨海城市的成型,顶科社区的地段价值必将逐步向市区靠拢。占据了顶科核芯超级地段的玖海云天,先天拥有更加强大的成长基因!
楼盘优势:品质与细节的完美呈现
中建玖海云天作为高品质绿建三星+超低能耗住宅,领衔时代健康、理想人居。项目采用先进的建筑技术和环保材料,精心打造每一栋建筑。外立面设计时尚大气,小区内的绿化率达到35%,精心打造的园林景观,让您仿佛置身于花园之中。户型设计上,推出建面约93-143㎡的三至四居精装品质住区,户型方正,南北通透,采光充足,满足不同家庭的需求。
同时,作为全国首个科学家社区,103片区整个区域内的配套资源以及居住环境,其等级必然是全市领先的。
更重要的是,103片区内的配套兑现速度,是其他片区望尘莫及的。
示意图
商业方面,103片区这些年陆续落地了几大商业:
约10万方商业综合体海港大道商业广场(规划中)。
总建筑面积约46万方(含地下)的大型商住综合体港城广场(暂命名)。
价格与性价比:物超所值
中建玖海云天的均价约为3.4万/㎡,总价约276-527万,相比周边同品质楼盘,价格更具竞争力。项目采用高装标交付,全屋E1级强化地板,健康环保;厨房上下柜+金属拉篮、油烟机、燃气灶+燃气报警,卫生间多功能浴霸等多重细节营造,勾勒质感生活。
户型赏析:精心打造,满足多样需求
93㎡三房两卫:全明通透,三开间朝南,L型厨房,三卧飘窗,动静分离,两卫设计,功能完善,覆盖全生命周期的居住需求。
100㎡三房两卫:户型方正,南北通透,采光充足,客厅宽敞大气,连接着一个超大阳台,三个卧室都配有独立的衣柜,满足您的收纳需求。
118㎡三房两卫:户型宽敞大气,空间布局合理,客厅和餐厅相连,营造出开阔的视觉效果,四个卧室都配有飘窗,采光和通风良好。
133㎡四房两卫:飞机户型,南北通透、大面宽,优越采光,主卧套房设计+大面积飘窗,赋予极大的舒适感,并且私密性极强。
主力户型:
相同户型因楼栋、单元、楼层等不同,局部结构、细部尺寸等可能存在差异,具体以双方签署的商品房买卖合同以及实际交付为准
三开间朝南、全卧室带飘窗、南向客厅带宽面阳台的设计,再加上长面宽短进深的整体格局,保证了室内采光、通风以及视野的优秀。
样板间实景图
样板间实景图
同时,主卧的套房设计,保证了主人的私密空间。
样板间实景图
这个户型真的挑不出毛病,惊艳的3房2卫户型。
视频详情
相同户型因楼栋、单元、楼层等不同,局部结构、细部尺寸等可能存在差异,具体以双方签署的商品房买卖合同以及实际交付为准
这个户型拥有含金量很高的南北通透格局。
同时四个卧室均带飘窗,加上整体方正的格局,得房率相当高。
样板间实景图
居住感上要直逼建面约160㎡以上的4房户型了,性价比很高的改善首选!
附其余部分非主力房源户型图:
世界顶科社区·玖海云天,不止占位世界顶科社区核芯,揽城市未来。更以央企担当,匠造*高品质住宅,匹配世界顶科社区区域能级进阶,为给居住者带来舒适的视觉体验、生活感受,重新定义临港未来人居标准。
核心价值
政策压舱石:国家级自贸区+顶尖科学家社区双重赋能;
产品超配感:绿建三星/精装地库/93㎡三房两卫等打破市场规则;
价格狙击点:3.4万均价+55万首付,对标周边地价即显性价比;
风险对冲术:准现房交付(2025年入住)+中海物业+商业自持。
行动提示:非人才购房窗口期稍纵即逝!3.1人才标准放宽在即7,即刻预约专属优惠: 400-960-1656(备注“玖海云天”享特价房锁定权)14。
预约咨询热线:400-960-1656☎, 加微咨询:139 1616 5691(加微,不要来电,备注楼盘名字)
声明:本文由入驻焦点开放平台的作者撰写,除焦点官方账号外,观点仅代表作者本人,不代表焦点立场。
