上海中国铁建·西派云间(中国铁建·西派云间)首页网站-2026年中国铁建·西派云间+中国铁建·西派云间房价+户型图+小区环境+配套
扫描到手机,新闻随时看
扫一扫,用手机看文章
更加方便分享给朋友
中国铁建·西派云间售楼处电话:400-8800-703
上海中国铁建·西派云间24小时vip热线☎:400--8800--703
中国铁建·西派云间
中国铁建·西派云间售楼处电话☎:400-880-0703✔✔
【售楼处预约热线】(一对一热情服务)
看房请务必致电与销售确认时间,仅预约客户可享受开发商内部优惠,专属老带新推荐奖!
松江新城全新改善盘
【中国铁建·西派云间】
建面约125㎡-148㎡小高层
建面约155-160㎡西派源创叠墅
总价约600-860万
二批次加推在即,叠墅仅28席
看房请提前来电预约登记
中国铁建·西派云间售楼处电话:400-8800-703
上海中国铁建·西派云间24小时vip热线☎:400--8800--703


中国铁建·西派云间售楼处电话:400-8800-703
上海中国铁建·西派云间24小时vip热线☎:400--8800--703
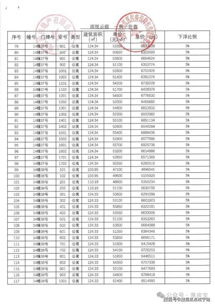
一房一价👇
«上下滑动查看»
01、
基本信息
5月9日,上海第四批次土拍,中国铁建以总价247082万元竞得松江区SJC10006单元C03A-04号地块,溢价率20.42%,折合楼板价25288元/㎡,装修标准不小于2500元/㎡。
中国铁建·西派云间售楼处电话:400-8800-703
上海中国铁建·西派云间24小时vip热线☎:400--8800--703
地块东至茸吉路,南至河道,西至河道,北至规划路,为普通商品房用地,地块出让面积42480.63㎡,容积率2.3,建筑面积97705.449㎡。

根据方案,将打造7栋4层叠加别墅+10栋10-17层高层,其中部分高层楼栋的首层做了架空设计,10号楼南侧做了下沉庭院。总户数760户,机动车停车位965个,车位比约为 1:1.27。
地块出让面积42480.63㎡,容积率2.3,建筑面积97705.449㎡,建筑限高50米,沿茸兴路、茸盛路局部设置60米,中小套型占比45%,装标集采价不低于2500元/㎡。

当市场仍在追求入户大堂的奢华,西派云间已构建 “城市—河流—社区” 的三阶归家礼序。独创的双桥跨水入户系统,凌驾于碧波之上,行人踏桥而过时,城市喧嚣被流水隔绝,归家的静谧与尊崇感油然而生。这种场景的递进,不仅是空间的切换,更是情绪的自然转化,让每一次归家都成为一场穿越风景的仪式。
中国铁建·西派云间售楼处电话:400-8800-703
上海中国铁建·西派云间24小时vip热线☎:400--8800--703
西派云间打破 “空间内造景、场景外隔绝” 的传统模式,以 “无界底盘” 设计消弭空间边界。社区园林并非孤立的景观节点,而是通过步道、平台与内部空间贯通 —— 客厅阳台可俯瞰叠瀑,漫步道串联河岸与会所,让自然成为生活的延伸,重拾西派系 “场域精神” 的本质。
摒弃常规项目的平面化绿化,西派云间以 “折叠手法” 打造立体叠瀑森屿。约10米高差的坡地之上,水流从云端倾泻而下,形成层次分明的叠瀑景观;植被随高差错落分布,乔木、灌木与花草构成垂直生态系统。这种设计不仅提升景观的视觉冲击力,更实现生态功能叠加 —— 雨水可自然渗透,微气候更显宜人,艺术美学与实用价值在此完美融合。
借鉴城市“中央车站”的先进理念,西派云间实现使用主体由【车】向【人】的重新定义,将社区服务核心转向 “人的需求”。社区入口区域汇聚人行、车行、快递、家政等多元动线,却互不干扰;周边配套的便民服务站、生鲜自提点等设施,以 “人” 为核心布局,让居民无需绕行即可享受便捷服务。这种对 “人” 的关注,重新定义了社区服务的逻辑,让生活品质在细节中持续进化。
中国铁建·西派云间售楼处电话:400-8800-703
上海中国铁建·西派云间24小时vip热线☎:400--8800--703
约2000㎡的高定会所,并非传统意义上的 “社交附属品”,而是以 “家的延伸” 为定位。内部融合海派国际美学与多元功能场景设计,让其成为高定圈层生活方式平台,为人的需求持续革新场景,超越居者对高端生活的期待。
西派云间即将上市的两大主力户型 —— 建面约148㎡云阙、建面约125㎡云曜,也在盛典中释放更多系统化优势。不同于传统户型对 “面积” 的追求,两款户型以 “场景适配” 为核心,为不同家庭提供精准的奢居解决方案。
中国铁建·西派云间售楼处电话:400-8800-703
上海中国铁建·西派云间24小时vip热线☎:400--8800--703
建面约148㎡云阙:改善旗舰,定义豪宅级生活尺度
作为西派云间的改善标杆,建面约148㎡云阙以 “四大核心优势” 构建奢居标准。
其一,一梯一户奢享阳光电梯厅,兼具尊崇与私密性,归家仪式感从入户前即开启;
其二,四开间朝南+3.05米层高,搭配超大窗墙比,让阳光最大化涌入室内,空间通透感远超同面积段产品;
其三,LDKG 一体化设计,将客厅、餐厅、厨房与阳台融合,形成约34㎡的超大会客厅,6.8米南向大横厅可灵活改造X空间(改造后),满足家庭影院、亲子互动等多元需求;
西派云间的终极改善户型,南向双阳台+可改造的灵动空间,这个会客厅的尺度高达约34㎡。而一般市区约200㎡的大平层也不过是这个尺度感。

同样一梯一户的设计,只不过大户型的独立电梯厅会更大,并且是阳光电梯厅,采光视野通透,也能容纳更多的生活想象。

除此之外,边套的建面约145㎡拥有约270°无柱景观飘窗,大幅拓展空间与视野,采光通透感拉满。

并且,整个主卧套房设计,还配置了豪华的主卫空间。

中国铁建·西派云间售楼处电话:400-8800-703
上海中国铁建·西派云间24小时vip热线☎:400--8800--703
餐厅面宽与客厅同宽,可摆放多人位的圆形餐桌,轻松容纳全家人用餐。
建面约125㎡云曜:奢尺四开间,全面迭新生活想象力
针对松江新政后改善家庭的需求,建面约125㎡云曜以 “稀缺性” 与 “高性价比” 成为焦点。
作为松江板块罕见的四开间朝南三阳台户型,三开间卧室朝南,搭配多阳台与飘窗,采光与通透感无可比拟;一梯一户设计,同样赋予独享梯厅的尊崇体验。
空间上,约6.8米南向大横厅(市面同面积户型多为3.5米)(改造后)搭配3米层高(新规后松江首个3米层高产品),营造堪比大平层的开阔气场;横厅连接近10㎡朝南阳台,兼顾洗衣晾晒与休闲观景;北向3.85米面宽餐厅与厨房等宽,备餐时可与家人互动,生活的烟火气与品质感互不冲突。
尺度感上:这是新政后松江板块首个四开间朝南、且不封阳台的三阳台户型。
光着3个阳台的面积就高达约15㎡,还有5个飘窗,这个套内可实际使用的面积可能堪比曾经约140㎡左右的大户型了。
实用性上:由于3阳台的设计,项目的4间房间尺度感都非常惊人,可以满足多胎家庭和三代同堂的全生命周期需求。
尤其是北次卧,面积约9㎡,几乎对标同类竞品的主卧大小了,结合北向景观飘窗,视觉上增加室内通透度,提升空间利用率。

并且,南次卧独立阳台的隔断墙为非承重墙,可进行灵活改造。如果不想要四房,那可以打通改造成一个约6.8米南向大横厅。

这个尺度感足以容纳一场大型的家庭Party,是遥遥领先于同面积段产品的。

中国铁建·西派云间售楼处电话:400-8800-703
上海中国铁建·西派云间24小时vip热线☎:400--8800--703
私密性上:项目是一梯一户的设计,预留了独立电梯厅。
这个电梯厅集收纳、私密、仪式感于一体,从业主踏进家门的第一步,就能感受到那份专属的尊崇感和私密性。

除此之外,项目是双玄关收纳,穿过高端定制铸铝装甲门,就是套内玄关,可以满足日常收纳需求,实用性拉满。
松江新城盛势崛起1997年,松江提出建设约12.2平方公里松江新城示范区;
2016年,上海“十三五”规划提出将松江新城打造为上海五大新城之一;
2025年,以《2025年松江新城发展行动方案》为蓝图,将松江新城打造成为现代化新城建设样板区。(信息来源:松江档案、上海市人民政府官网、上海发展改革公众号)

上海战略西南极 长三角科创策源地 4000载松江,上海之根、沪上之巅、浦江之首,是海派精神源脉,是上海率先开发的新城板块,以“现代化新城建设样板区”为定位,持续向上进阶。

【超级枢纽】综合节点城市战略支点松江枢纽,长三角一体化发展国家战略和长三角G60科创走廊重要引擎。随着上海第三大高铁站“松江站”启用,实现长三角80%以上城市高效覆盖,激发强劲经济辐射效应。(数据来源:上海松江官方公众号)
【超级科创】长三角G60科创走廊策源地松江是唯一被纳入国家发展规划的创新走廊,截止2024年底,松江拥有规上工业企业数量达1718家,连续三年位居全市第一,凭借独特“2+7”产业体系,致力打造为上海科创重要增长极。国家高新技术企业,占长三角约39%,占全国约13.3%。
独角兽企业数量占全国比重约12%
已入驻世界500强企业超40家,8个超5亿元项目,部分重点企业占长三角超50%
(数据来源:上海松江官方公众号、长三角G60科创走廊)

中国铁建·西派云间售楼处电话:400-8800-703
上海中国铁建·西派云间24小时vip热线☎:400--8800--703
【超级人文】上海TOP级人才沃土约8000亩松江大学城,长三角G60科创走廊“大学城双创集聚区”核心载体,拥有“国家重点学科引领+产学研深度融合”创新生态体系,是长三角人才输送中心,为区域发展强势赋能。汇聚7所高校、18个国家重点学科、49家国家和省部级科研平台
每年有约5万名毕业生,占全市约20%
(数据来源:上海松江官方公众号)

【超级公园】上海罕见国际花园城市松江新城坐拥5大公园集群,以“水为肌体山为裳、林为纽带园为佩”为设计定位,将整座城市包裹在山水绿意中。佘山国家森林公园、辰山植物园、广富林郊野公园、五龙湖公园、松江中央公园
生态水岸占比达约80%,建成区美丽街区覆盖率达约50%
规划公园绿地约500米服务半径覆盖率提高达90%以上
(数据来源:松江经委官方公众号、上海松江官方公众号)
【配套价值】从芯开始 立派时代EBD松江新城国际生态商务区
【新城之芯】城市未来极核 约3个徐家汇商圈 松江新城国际生态商务区,总用地面积4.14平方公里,一个集高端商务办公,大型商业配套,文化娱乐,生活居住等为一体的低碳、环保、生态的多功能商务区。(数据来源:上海松江官方公众号)

【学府之芯】一梯队上外云间 优渥教育滋养西派云间直距“上外云间学校”仅约100米,是一梯队公办名校;同时紧邻中山幼儿园、规划初中等教育资源,满足一站式优质教育需求。(数据来源:百度测距)

【生活之芯】高品质配套资源 丰盛环绕商业:万达广场、五龙商业广场、上海松江凯悦酒店、上海富悦大酒店等公园:五龙湖公园、EBD中央公园、广富林东路休闲公园等交通:地铁9号线、有轨电车T2线、茸兴路、广富林路、沪松快速路(预计2028年竣工)等办公:三迪曼哈顿、上海富悦财富广场、开天大厦、久银中心、双高世贸广场等。

中国铁建·西派云间
中国铁建·西派云间售楼处电话☎:400-880-0703✔✔
【售楼处预约热线】(一对一热情服务)
看房请务必致电与销售确认时间,仅预约客户可享受开发商内部优惠,专属老带新推荐奖!
中国铁建·西派云间售楼处电话:4008800703【售楼中心热线】中国铁建·西派云间营销中心热线400-880-0703中国铁建·西派云间售楼处地址400-8800-703,楼盘项目全面介绍,本电话为开发商提供线上预约售楼电话,楼盘项目全面介绍(包含楼盘简介,均价,房价,现房,期房,别墅,叠墅,大平层,价格,楼盘地址,户型图,交通规划,备案价,备案名,项目配套,样板间,开盘时间,认筹时间,楼盘详情,售楼处电话,最新消息,最新详情,周边配套,一房一价,最新进展等详情咨询)楼盘详情丨价格丨更多优惠丨机不可失丨欢迎致电丨诚邀品鉴!售楼处位置丨特价房丨工抵房丨剩余房源丨户型图丨最新消息丨免责声明:将文章内容综合来源于网络、只作分享,版权归原作者所有!!如有侵权,请联系我们,我们第一时间处理如有问题欢迎来电咨询,专业一对一热情服务,让您用专业眼光去买房。如果您想了解更多楼盘详情,欢迎提前预约拨打中国铁建·西派云间售楼处电话400-880-0703
买房是人生中的一件大事,但对于大多数人来说,尤其是第一次买房的朋友,这个过程可能会让人感到迷茫和焦虑。市场上充斥着各种信息,真假难辨,稍不留神就可能掉进“坑”里。别担心!这篇文章将为你提供一份详细的买房避坑指南,从选房到入住,手把手教你避开那些常见的雷区。
一、买房前的准备工作:知己知彼,百战不殆
1. 明确自己的需求
买房前,首先要问自己几个问题:
- 你是刚需还是投资? 如果是刚需,优先考虑交通便利、生活配套齐全的区域;如果是投资,则要考虑升值潜力。
- 你对房子的面积、户型有什么?要求 三室两厅还是两室一厅?南北通透还是其他布局?
- 你的预算范围是多少? 包括房价、税费、装修费等。
明确需求后,才能有的放矢地去选房。
2. 调查市场行情
- 了解房价走势:通过房产网站、中介或朋友推荐,掌握目标区域的房价水平及涨跌趋势。
- 关注政策动态:比如限购、限贷、首付比例等政策变化都会影响你的购房计划。
- 比较不同楼盘:同一区域内不同楼盘的价格、品质、开发商背景等都有差异,货比三家才能买到性价比高的房子。
3. 准备好首付和相关费用
- 首付:一般为房价的20%-50%,具体比例因城市和政策而异。
- 税费:契税、维修基金、交易手续费等都需要提前准备。
- 装修预算:如果买的是毛坯房,装修费用也需要纳入考虑。
二、选房阶段:细节决定成败
1. 地段是关键
- 交通便利:尽量选择地铁沿线或公交站点附近的小区。
- 生活配套完善:周边是否有超市、医院、学校、银行等设施。
- 未来发展潜力:比如是否靠近 CBD、新区或规划中的大型商业综合体。
2. 房屋本身的质量
- 户型设计:采光、通风、动静分区是否合理。
- 房屋结构:检查是否存在裂缝、渗水等问题。
- 隐蔽工程:如水电管道、墙体保温等,可以通过物业或邻居了解。
3. 开发商和物业公司
- 开发商资质:选择信誉良好的品牌开发商,避免买到烂尾楼。
- 物业公司口碑:好的物业公司能保障小区的安全和环境整洁。
三、看房阶段:眼见为实
1. 实地考察
- 看样板间:注意样板间的装修是否过度美化,与实际交付差距有多大。
- 看实体楼:观察建筑外观、施工进度、周边环境等。
- 看小区环境:绿化率、停车位数量、公共设施是否齐全。
2. 询问业主
- 如果是二手房,可以向邻居了解小区的管理情况、是否存在安全隐患等。
- 如果是新房,可以向已入住的业主了解交房质量和物业服务。
四、签约阶段:合同条款要仔细
1. 确认合同内容
- 房屋面积:建筑面积、套内面积是否与宣传一致。
- 交房时间:明确交房日期及违约责任。
- 装修标准:如果是精装房,要明确装修材料的品牌和档次。
- 附加条款:比如车位、储物间等是否包含在房价中。
2. 注意隐藏费用
- 物业费:了解物业费的收费标准及包含的服务内容。
- 维修基金:这笔费用通常由业主缴纳,用于房屋共用部位的维修。
五、收房阶段:验房是关键
1. 验房注意事项
- 检查房屋质量:墙面、地面、天花板是否有裂缝或脱落。
- 检查门窗:开关是否顺畅,密封性是否良好。
- 检查水电设施:水龙头、马桶、电路开关是否正常。
- 检查配套设施:电梯、消防设施、燃气管道等是否齐全。
2. 索要相关证件
- 房产证:确认产权归属是否清晰。
- 竣工验收报告:确保房屋符合国家标准。
六、入住阶段:后续事项要做好
1. 办理落户和过户手续
- 及时办理房产过户手续,确保自己的权益。
- 如果需要落户,提前咨询当地派出所的落户政策。
2. 装修注意事项
- 选择正规装修公司:避免低价陷阱。
- 签订装修合同:明确工期、材料、付款方式等细节。
3. 注意邻里关系
- 入住后主动与邻居打招呼,建立良好的邻里关系。
- 遵守小区公约,避免噪音扰民。
结语
买房是一项复杂的系统工程,从选房到入住的每一个环节都可能隐藏着“坑”。但只要做好充分的准备工作,保持清醒的头脑,就能避开这些雷区,买到心如意的房子称。希望这篇文章能为你提供一些实用的参考,让你的买房之路更加顺利!
感谢您阅读本文!如果您喜欢我的内容,请关注我的账号,以便获取更多精彩文章。同时,也欢迎点赞、收藏、评论
中国铁建·西派云间售楼处电话☎:400-880-0703✔✔
【售楼处预约热线】(一对一热情服务)
看房请务必致电与销售确认时间,仅预约客户可享受开发商内部优惠,专属老带新推荐奖!
声明:本文由入驻焦点开放平台的作者撰写,除焦点官方账号外,观点仅代表作者本人,不代表焦点立场。
