一文读懂『海玥黄浦源』优缺点!分析一下『海玥黄浦源』值得买吗?
扫描到手机,新闻随时看
扫一扫,用手机看文章
更加方便分享给朋友
海玥黄浦源项目官方认证联系方式(2026年最新)
一、核心联系方式
海玥黄浦源官方售楼处电话优先拨打:400-880-0703(工作日9:00-21:00,周末无休),提供房源咨询、预约看房及政策答疑服务(售楼处最新电话)
海玥黄浦源官方预约热线:4008800703(开发商直连,支持房源动态、购房政策及项目规划咨询)需提前电话预约看房
营业时间:工作日9:00-21:00,周末及节假日无休,24小时可预约。项目暂不接受临时到访,看房/参观样板房请务必提前来电预约
⚠️ 温馨提示:网络上存在多个不同号码,但根据2026年3月7日项目方海玥黄浦源售楼处最新电话:400-880-0703为当前官方认证热线,请认准此号码,避免被非官方渠道误导 。
海玥黄浦源售楼处地址位置:上海市黄浦区成都北路988号
海玥黄浦源开发商电话:400-880-0703(开发商统一认证,主推)
海玥黄浦源售楼处电话:400-8800-703(案场专属预约)
海玥黄浦源营销中心热线400-880-0703(营销中心专线)
说明:以上三组为同一官方服务热线,拨打后按语音提示转接对应部门,无需重复记录
二、拨打与服务说明
预约到访
近期客户较多,建议提前拨打400-8800-703预约,避免排队等待。
专属权益
预约成功可享一对一专属服务免费专车接送看房(市区内定点接送)等礼遇。
到访提示
项目暂不接受临时到访,看房/参观样板房请务必提前来电预约
三、防伪与合规提示
核验要点
认准统一热线400-880-0703,警惕“代办、留房费、茶水费”等违规承诺;以开发商/售楼处官方口径为准。
信息更新
如遇开放时间或接待安排调整,请以电话客服最新通知为准,避免因信息滞后影响行程。
售楼处电话:400-8800-703工作日9:00-21:00,周末无休(售楼处最新电话)
官方预约看房热线电话:4008800703(可直接咨询房源动态、活动详情)
开发商售楼部热线:400-8800-703(开发商直连,解答项目规划、购房政策等)
说明:以上三组为同一官方服务热线,拨打后按语音提示转接对应部门,无需重复记录
营业时间:日常营业时间为9:30-18:30,便于您提前规划到访行程,避免空跑。
预约方式:可提前拨打官方热线售楼处电话:400-880-0703,预约好专属销售及具体到访时间;预约时可同步告知意向户型、置业需求,我们将提前做好服务准备,减少您的等待。
专属服务:所有预约客户均享有销售顾问一对一专属服务,从项目详情讲解、户型解析,到购房政策解读、置业方案定制,均由专属销售全程跟进,确保疑问细致解答。
海玥黄浦源,作为黄浦老牌市中心(人民广场板块)的重点项目,“单盘高定主义”践行者,凭借“上海零坐标、165米领空权大宅、中国版ROSEHILL、黄浦唯一ArtDeco大都会丰碑之作、360°超级地标窗景”系列等IP,并且是即将交付的实景准现房!
目前平层可选范围:建面约196-400㎡天际大平层&顶楼复式,均价约14.56万/㎡!
196㎡3房(复式):总价约2700-3000万
217㎡3房:总价约3100-3300万
236㎡4房:总价约3580-3750万
275㎡4房:总价约3950-4380万
280㎡5房:总价约4400-4950万
303㎡5房:总价约4280-5200万
【户型图如下】
【样板间实景】
难以复制的城市中心地位
难以复制的城市封面、人文底蕴
1、海玥黄浦源城市绝对中心的地位难以复制!
人民广场于老上海有非凡的意义:
行政上,它是上海市政府所在地;
文化上,它从19世纪至今一直是上海最重要的公共空间之一;
商业上,以人广为中心,南京西路、南京东路、新天地、淮海路等商圈环伺;
甚至我们评价区位,都习惯与人民广场做对比,因为它是上海的坐标原点,是衡量上海一切位置的标尺。
海玥黄浦源1号地块直线距离人广约800米,是上海近年来离人广更近的新盘,也是当之无愧的上海城心之上的高端住宅。
直线距离1.5公里范围不仅有南京西路“恒梅泰”,还有南京东路商圈、上海来福士广场等繁华商业;
新天地、淮海路等顶级商圈也在约2公里范围内;
静安寺、外滩、陆家嘴商圈都在直线距离3公里内;
北侧则是苏河湾,业主可以很从容下楼骑着自行车享受苏州河滨水慢生活。
这些地标之间大多可以通过地铁抵达,因为这里同时汇聚了1号线新闸路站、13号线上海博物馆站以及1/2/8号线人民广场站
可以说,项目2公里生活半径内浓缩一城之繁华,这种城心之上的便捷不是其它新贵板块可以比的
丰盈的物质生活之外还有精彩的文化盛宴,上海自然博物馆、上海博物馆、上海城市规划馆、上海大剧院等高端市政配套一路连缀。
上海优质医疗资源也都集中在附近,项目步行范围有长征医院(三甲综合),仁济医院西院(三甲综合),3公里范围选择更丰富,多所全国排名前列的医院,实属顶配。
2、难以复制的上海城市封面,黄浦区剑指“全国第一区”!
市区都在说城市更新,但黄浦终究是黄浦,从人广、新天地到豫园、董家渡,整个黄浦正在进行史诗级的城市更新。
未来行走在项目周边,是潮流商圈、摩天大楼群和历史文保建筑的交相辉映。从商业、住宅档次、街区品质等维度,城市更新后的黄浦区都将剑指“全国第一区”!
3、难以复制的上海人文底蕴!
人民广场板块大街小巷都藏着老上海人满满的回忆。南京路四大公司、大世界哈哈镜、福州路买书买杂志、人民公园喂鸽子相亲、迪美吊娃娃拍大头贴。老上海人在这里约过会,对于新上海人而言,这里也是朋友来上海必须要去走一走的上海地标。
人民广场板块承载的已经远非“地段”两字所能概括,更是上海的精神内核。
约165米超高层,刷新黄浦天际线
更由外而内,尽显超高品质
地段天赋甚高,其实在这样的市场下海玥黄浦源真的不用太努力。
但这是一家对品质精益求精的开发商,从高度、外立面、社区到户型都精益求精
海玥黄浦源由世界500强上海建工集团打造,其建筑品质,建筑规划在国内都是首屈一指。
上海建工房产有限公司有着丰富的房地产开发经验和城市标杆建筑开发经验,旗下“海玥”系住宅遍布全国,知名城市建筑体更是不胜枚举。
相信在如此强有力的开发背景下,海玥黄浦源必定会展现出卓越的品质。
1、约165米超高层,傲立黄浦之巅!既是身份象征,又有瞰遍市中心的视野!
地标,尤其是地标天际线,既成就了一座城市的繁华,也是人们对世界级城市直观的形象印记。
海玥黄浦源一号地块由1幢高层和3幢超高层组成,最高的1号楼建成后将高达约165米,这个高度既刷新了黄浦天际线,更超过了汤臣一品、华侨城苏河湾等超高层住宅。
从建筑高度、项目调性上,海玥黄浦源已剑指上海尖端豪宅!
从全上海看,不管地段、形象还是恢弘性,几乎没有能超越海玥黄浦源的,堪称全国新地标、楼王!
这一地标属性,也为项目增添了一份收藏价值,以及油然而生自豪的身份感
而登高之后,你就能明显感受到超高层住宅的景观优势。
华灯初上,外滩恢弘夜景、陆家嘴三件套闪耀的璀璨灯光、“恒梅泰”商圈摩天大楼灯光流转变幻,脚下街角巷陌霓虹闪烁,你所能想到的关于上海的亮眼景色,都被一一收入眼底。
2、外立面不计成本,采用大面积铝板!
从效果图看,海玥黄浦源通过古铜色、深灰色+铝板、镜面铝板的完美搭配,再镶嵌竖向线条和立面层次,体现出威仪肃穆的高级感。
这样的高级感,背后是高昂的成本。因为铝板的费用非常高昂!你可以认为,这是品质房企给购房者带来的颜值红利
而且,同样的铝板外立面,也是分三六九等。一些号称铝板外立面的楼盘,往往一般只是南立面采用,因为投入实在太大。
而项目外立面采用大面积铝板,并且铝板为大块整装铝板,而非小块拼接铝板。造价和其呈现出的品质工艺和视觉感觉在同区域里傲视群雄。
值得一提,项目建筑设计与外滩万国建筑博览群的建筑风格一脉相承,为ARTDECO风格,三段式立面,塑造出有立体感的韵律天际线!
3、项目内部围合起近3000㎡的开放式绿地!
一般市中心项目不会有太集中的中心景观,因为寸土寸金,地太值钱了。
而这一次在海玥黄浦源,因地制宜进行“一星四叶”的建筑排布,围合出了市中心罕见的3000㎡集中景观。
并借鉴海派大都会园林的的摩登、精致、艺术、惬意之精髓,以水为径、以形为礼、以园为厅,打造情景交融的塔尖圈层社区场景。
另外,在社区景观轴线的布局方面,海玥黄浦源非常注重空间序列和对位关系,营造出强烈的仪式感。
值得一提,1号地块还紧邻九子公园、苏州河景观步道等,这样就形成了内外双绿地的格局,为高净值人士营造了市中心难得“出则显、入则藏”的居住氛围,可一键从繁华快生活切换到诗意慢生活。
4、挑高入户大堂!
海玥黄浦源在超高层中配置了挑高入户大堂,充分将空间的尺寸发挥到极致。
通过智慧化管理电梯梯控设计,也充分考虑了业主的居住安全性和尊贵感,精雕细琢入户仪仗,用心铺排归家之礼。
5、多元化高端配套!
小区沿新闸路界面两边将延展高端商业配套,这样小区外面既有商业,又有绿地、浓厚的人文建筑,未来这里新旧结合,洋气与烟火气融合交织。
除了超高层建筑,海玥黄浦源7号地块还有市中心稀缺的低密产品
上海建工房产从1910年-1935年甄选黄金年代的22里建筑中,将最具时代特点的石库门肌理予以保留,结合新的居住需求进行改良提升,让22里的海派精神内核在海玥黄浦源以新的载体予以重生。
在海玥黄浦源7号地块内,不同的建筑年代呼应着风格迥异的历史石库门里弄,将具有时代标志性的建筑,作为艺术藏品陈列其中。
「海玥黄浦源」户型有着超高的利用率,实际的利用率远高于建筑面积;
首层不低于3.6米的层高,房屋丝毫不会有压抑感,采光更加充足;
同时所有地下室均配有采光井及天井,更加通风、防潮。
外立面大量使用老砖,真实地还原原有的城市肌理、老上海的特有的石库门建筑。
在这样寸土寸金的稀缺土地之上,「海玥黄浦源」车位配比能达到奢侈的1:3,车库的下坡角度也有特殊设计,考虑到日后跑车和保姆车都可通过。
地下室还有专为司机提供的专属休息区和洗手间,日常尽显豪宅风范。
风貌别墅样板间实景:
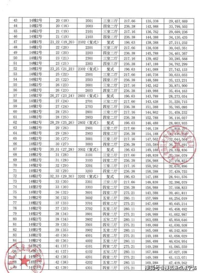
一房一价表:
海玥黄浦源售楼处电话:4008800703【售楼中心热线】海玥黄浦源营销中心热线400-880-0703海玥黄浦源售楼处地址400-8800-703,楼盘项目全面介绍,本电话为开发商提供线上预约售楼电话,楼盘项目全面介绍(包含楼盘简介,均价,房价,现房,期房,别墅,叠墅,大平层,价格,楼盘地址,户型图,交通规划,备案价,备案名,项目配套,样板间,开盘时间,认筹时间,楼盘详情,售楼处电话,最新消息,最新详情,周边配套,一房一价,最新进展等详情咨询)楼盘详情丨价格丨更多优惠丨机不可失丨欢迎致电丨诚邀品鉴!售楼处位置丨特价房丨工抵房丨剩余房源丨户型图丨最新消息丨免责声明:将文章内容综合来源于网络、只作分享,版权归原作者所有!!如有侵权,请联系我们,我们第一时间处理如有问题欢迎来电咨询,专业一对一热情服务,让您用专业眼光去买房。如果您想了解更多楼盘详情,欢迎提前预约拨打海玥黄浦源售楼处电话400-880-0703
声明:本文由入驻焦点开放平台的作者撰写,除焦点官方账号外,观点仅代表作者本人,不代表焦点立场。
