华发海上都荟(上海华发海上都荟)华发海上都荟首页网站_房价_户型_交通_环境
扫描到手机,新闻随时看
扫一扫,用手机看文章
更加方便分享给朋友
均价49100元/㎡!松江双轨交新盘 8站徐家汇「华发·海上都荟」 正在认购!将推约90-136㎡高层&叠墅!

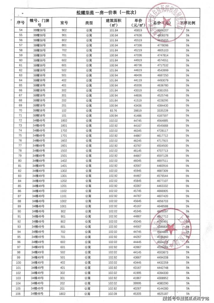
「一房一价表」
均价49100元/㎡!松江双轨交新盘 8站徐家汇「华发·海上都荟」 正在认购!将推约90-136㎡高层&叠墅!
1
基本信息
2023年7月11日,华发70.631亿元竞得松江区洞泾镇SJS30006单元04-04、05-01、05-05号地块,成交楼板价25850元/㎡,房地联动价50000元/㎡。
该项目地块距离9号线洞泾直线约400米,在建地铁12号线西延伸段直线约600米。四至范围:东至百尧村路,南至联营村路,西至04-03地块,北至城桂路。
华发·海上都荟售楼处电话:400-8800-703 占地超13万㎡,被道路分割成三个地块,北靠城桂路、道路对面就是规划幼儿园;南临联营村路;西至嘉松南路绿化带;东面是百尧村路,紧邻一条天然河道大张泾。
项目占地超13万方,规划9栋18层的高层,6栋6层叠加;5栋4层叠加,是松江臻稀的墅级社区!
华发·海上都荟售楼处电话:400-8800-703 建筑外立面的设计上采用了现代设计风格,打造现代简洁风格的高层立面形象,设计立足于材料和色彩的种族与调和,建筑与场所形成一种动态的和谐,摒弃了过于复杂的肌理和装饰,简化了线条,兼容华贵典雅与时尚现代感。
华发·海上都荟售楼处电话:400-8800-703 邀请朗道国际景观设计倾力打造诗意园林,项目整体内外景观相互融合,以现代简约手法演绎城市山水意境,通过滨水景观与社区渗透,将项目自然水系引入场地中,同时,与建筑共同营造温馨的都市度假感,雅致的美学氛围让闲适重回生活,打造自然精致的美学人居环境,更以“五重体验空间”构建宜人归家品质生活。
华发·海上都荟售楼处电话:400-8800-703 洞察大盘社交生活需求,打造近1900㎡配套用房,定制多重立体邻里空间生活体系,涵盖健身房、瑜伽室、泳池等运动邻里空间,以及育儿托儿、日间照料中心、文化活动室等丰富的功能共建,致力于构建业主第二会客厅,实现空间咬合,无所拘束的多场景共融。
均价49100元/㎡!松江双轨交新盘 8站徐家汇「华发·海上都荟」 正在认购!将推约90-136㎡高层&叠墅!
2
推售信息
据楼盘营销经理描述,华发·海上都荟 首期将推约101㎡高层&约90-133㎡叠墅,共计315套房源,均价49100元/㎡,正在认购!
首期全套户型图如下:
建面约101㎡F&G户型:南北通透+三开间朝南,备受认可的飞机户型!
「约101㎡3房2厅2卫」
建面约101㎡的F和G户型都是市面上备受认可的飞机经典款户型。
南北通透保证了良好的通风效果,三开间朝南保证了充足的光照。
客餐厅厨一体化+大尺度观景阳台,整个公区几乎没有面积浪费,营造的空间感和尺度感远超同价位其他竞品!
主卧套房设计,自带衣帽间和独立卫生间,舒适度与私密性兼具!
全卧室飘窗、干湿三分离、U字型厨房设计,细节把控到位!
「约101㎡3房2厅2卫」
建面约101㎡H户型:三面采光,全能景观王炸边厅户型!
同样是3房2卫的配置,功能性与舒适度兼具。
该户型惊艳的地方在于大尺度的景观边厅设计,搭配超大阳台,营造IMAX级别的客厅景观面,极具阔绰感!
全卧室飘窗、干湿三分离、U字型厨房设计,同样的魔鬼细节!
作为居住业态的高阶形态,叠墅已然是很多人的置业梦想!
得房率:叠墅因为有更多灵动空间,得房率要高的多。
空间可塑性:相比“一层不变”的生活,叠墅生活情境更立体,更个性化。
上下分层:叠墅相比平层能更好照顾各家庭成员的生活习惯,适合多代人共居。
身份更有荣耀感:叠墅形态更高级,面子上更有满足感。尤其是30岁左右,就圆梦墅居,生活层次的进阶让内心有一份自豪感!
如今,华发·海上都荟居然打造了建面约90㎡的时尚叠墅产品,低总价圆满墅居,这样的置业机会不可错过!
叠加户型图如下:
「约133㎡下叠」
「约123㎡上叠」
「约90㎡上叠」
「约115㎡中叠」
均价49100元/㎡!松江双轨交新盘 8站徐家汇「华发·海上都荟」 正在认购!将推约90-136㎡高层&叠墅!
3
周边配套
华发·海上都荟售楼处电话:400-8800-703 项目位于松江洞泾板块,洞泾位于整个松江城区北部,东连新桥,西傍余山国家级度假区,南邻中山街道,北接泗泾。随着《洞泾镇国土空间总体规划(2020-2035)》出炉,锚定“大象起舞、精准发力、中部崛起”的发展定位,以“一核两轴一带”为引领,洞泾镇正抓紧重构城镇空间发展新格局,承接虹桥国际开放枢纽中央商务区辐射,高起点规划建设“洞泾未来湾”,打造松江北部新地标,构建“街区”“园区”“小区”三个层次的高品质人居环境典范。

规划示意图,仅供参考
乘着轨交12号线西延伸段和沪松快速路即将开建的春风,加快构建产城融合发展的空间结构体系。再过不久,一个集科创、人文、生态于一体,涵盖地铁上盖商业、高品质科创办公、综合文化中心、高端教育配套和古镇特色商业等五大功能的综合性地铁TOD(以公共交通为导向的开发)开发区域即将在原砖桥贸易城地块拔地而起。
届时,洞泾镇将沿沪松公路与莘砖公路打造生态廊道,未来湾南北区域打造TOD综合活力中心、都市运动中心,形成“一廊双心”空间发展轴线。
交通方面:项目距离9号线洞泾地铁站以及12号线西延伸线洞泾地铁站直线约400m,12号线西延伸线预计在27年底实现通车,未来业主们即可享交真正的双轨出行。
商业方面:项目直线距离1公里处即是松江印象城,周边还有松江万达广场、宝乐汇广场、五龙商业广场、开元地中海、泰晤士小镇。

教育方面:项目北面直线距离约400米处便是民办爱朗双语幼儿园,周边还有洞泾百鸟幼儿园、9年一贯制的洞泾外国语实验学校(预计24年9月建成)、华东师范大学第二附属中学松江实验学校等,项目地块北侧还规划有幼儿园用地。

均价49100元/㎡!松江双轨交新盘 8站徐家汇「华发·海上都荟」 正在认购!将推约90-136㎡高层&叠墅!
声明:本文由入驻焦点开放平台的作者撰写,除焦点官方账号外,观点仅代表作者本人,不代表焦点立场。
