招商林屿湖畔 (售楼处) 首页网站 - 招商林屿湖畔销售中心 - 环境 - 户型 - 价格 - 地址 - 楼盘详情 - 配套 - 电话 - 交房时间 - 配套 - 电话 - 交房时间
扫描到手机,新闻随时看
扫一扫,用手机看文章
更加方便分享给朋友
招商林屿湖畔售楼处电话:400-8800-703
招商林屿湖畔营销中心热线400-880-0703(官方预约看房热线)
已取证,明日认购盛启!【招商林屿湖畔】三期加推远香湖稀缺叠加,预约抓紧!
 
 
 
 
最新消息:二开二罄之后,嘉定新城远香湖CAZ全新盘【招商林屿湖畔】三期现已取证,10月24日开启认购,将加推建面约160-165㎡叠墅,建面约122㎡3房!
 
招商林屿湖畔售楼处电话:400-8800-703
招商林屿湖畔营销中心热线400-880-0703(官方预约看房热线)
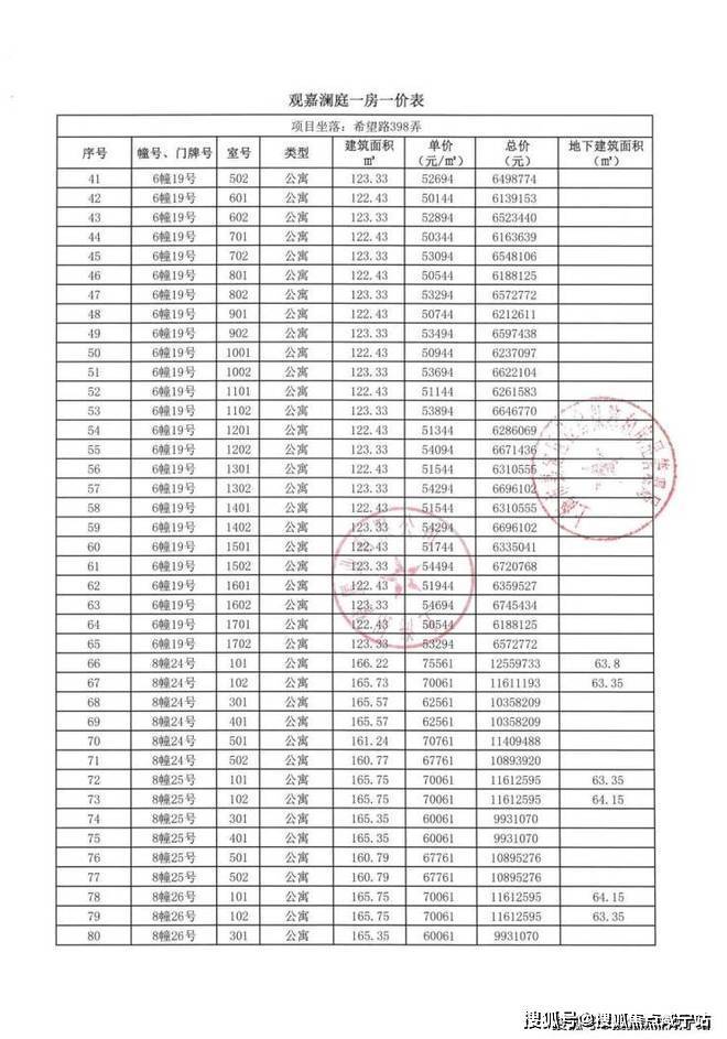
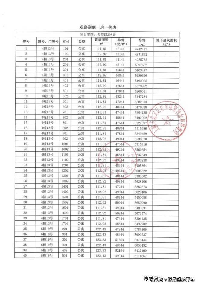
一房一价表如下:
 
招商林屿湖畔售楼处电话:400-8800-703
招商林屿湖畔营销中心热线400-880-0703(官方预约看房热线)
 
 
 
三期户型如下:
 
 
 
看完这个新盘,独家君可以毫不客气的说这是嘉定新城更值得入手的新盘,拥有更高实得率+断层领先的户型&景观设计,远香湖一路之隔,还有优质商业教育资源作配套!(注:相关教育设施仅为介绍周边教育资源,并不承诺为划片学区)同时,它还是嘉定新城远香湖CAZ中的最后一块纯宅地!(注:根据现有规划)
 
招商究竟拿出了哪些“看家本事”来匹配这个地王地项目呢?近期招商林屿湖畔售楼处电话:400-8800-703 建面约122㎡及145㎡创意展示空间已经正式开放,随独家君一起来看下!
招商林屿湖畔三期即将认购!
加推建面约122㎡小高层、160-165㎡叠墅
对项目感兴趣的小伙伴
Part.1
建面约122㎡创意展示空间实探
户型“实得率”狂飙!
(注:非得房率)
招商蛇口2025年的项目,都有一个共通点,那就是响应国家号召的“好房子”标准,层高、装标、套内实用空间、社区景观等等各方面的提升。招商林屿湖畔,就是其中之一。
招商在其长宁、宝山、浦东等项目中大受好评的高“实得率”(注:非得房率)户型,首次来到了嘉定远香湖畔。建面约112㎡一梯两户,建面约122㎡和建面约145㎡类一梯一户,项目“实得率”(注:非得房率)直接飙升!
 
 
 
全套户型,左右滑动查看更多
以建面约122㎡3房为例,独家君看到这个户型创意展示空间的第一眼就是130、140㎡的既视感。通过专业建筑测评,计入门厅的情况下,该户型可使用率甚至达到了约84-88%!相比远香湖过去的项目,“断崖式”领先!
这意味着什么?未来进入二手市场后,在房龄差距不大的情况下,购房者必定会青睐能给到自己“更多”的二手房。换句话说,这类房子未来在二手市场中更具有竞争力!
来看下这个户型的创意展示空间,类一梯一户给予业主超绝尊崇感和实用性。
类一梯一户告别连廊,电梯出来就是入户前厅,要知道类似的配置一般也只在市区项目大户型中才可以拥有,增加了业主实际使用空间,可按心意去布置。
 
建面约122㎡户型标准层平面图示意图
进门后,又是独立玄关,一个“迷你800库”足以收纳球杆球拍、26寸大行李箱、山地自行车......让各类物品都有归属,堪称招商收纳魔法!
【122】平户型创意展示空间实拍图,仅作为装修效果展示所用,不作为交付标准承诺,最终以合同及实际交付为准。
整个户型南北通透,LDKB一体化设计,层高约3.1米,客厅面宽约5米,尺度感远超同板块次新。
 
【122】平户型创意展示空间实拍图,仅作为装修效果展示所用,不作为交付标准承诺,最终以合同及实际交付为准。
U型厨房借用飘窗,带来远超普通户型的操作空间,可收纳锅碗瓢盆、五谷杂粮,吊柜安装天使拉篮方便拿取;方太三件套,更适应国人的烹饪习惯。
 
【122】平户型创意展示空间实拍图,仅作为装修效果展示所用,不作为交付标准承诺,最终以合同及实际交付为准。
客餐分离,能够容纳1.2m直径圆桌,满足家庭聚会需求;预留餐边柜位置,可以打造成“早C晚A柜”,收纳各种美酒和好看的杯子,保持生活的仪式感。
 
【122】平户型创意展示空间实拍图,仅作为装修效果展示所用,不作为交付标准承诺,最终以合同及实际交付为准。
北房间与阳台打通,直接拓展使用空间,提高利用率!
 
【122】平户型创意展示空间实拍图,仅作为装修效果展示所用,不作为交付标准承诺,最终以合同及实际交付为准。
除此以外,项目的主卧、主卫、客卫都设计有飘窗,特别是边套主卧拥有L型巨幅飘窗,带来270°环幕视野。
 
【122】平户型创意展示空间实拍图,仅作为装修效果展示所用,不作为交付标准承诺,最终以合同及实际交付为准。
招商林屿湖畔三期上新建档中
点击小程序预约参观,销售1v1接待!
Part.2
游艇立面、奢阔门庭、无边悬浮戏水池...
问鼎嘉定新城“第一豪宅”
室内的高标准也延续到了室外。招商林屿湖畔售楼处电话:400-8800-703,带来了对标千万级豪宅公区的审美和质感,其中很多设计都是嘉定“首个”,颇具革新意义,给嘉定新城带来全新的具有辨识度的住宅产品!
首先就是外立面,外立面永远都是旁人判断住宅品质是否高级的第一指标。招商林屿湖畔,小高层建筑底部为石材,主材为铝板+玻璃幕墙立面,从材质上就已经胜过了很多500万起的新盘!
 
契合远香湖地缘要素,“游艇”造型辅以流动的水波立面,舒展的横向线条,让独家君第一反应想到了陆家嘴滨江豪宅九庐。顶部飞檐设计,最高约0.35窗墙比,形成独属于招商林屿湖畔的视觉符号,也成为指引归家方向的“灯塔”。
其次是门头,高约10米、长约87米奢阔门庭,这尺度嘉定前所未见!拉长尺度的同时,项目采用奢华酒店落客场景为设计理念,奢石装点,隐奢感瞬间get!
重头戏来了,板块内领创“峡谷”意境的下沉式立体庭院堪称一绝。约420㎡下沉式庭院,搭配约4.3米飞瀑,端坐林下可聆听飞瀑坠地的清音,沉浸式体验奢华酒店度假的感觉。奢华酒店很贵,但你选择这里,可以天天拥有。
 
飞瀑之上,是一座无边悬浮戏水池,可直接俯瞰下沉式景观庭院,身处其中仿佛与自然融为一体。
 
洄游式的曲折路径和风雨连廊,串联了一个个景观节点和楼栋,漫步其中,把大自然的气息浓缩在身旁,亲近水,亲近风,亲近绿意。
这样丰富自然的社区景观,别说嘉定新城不曾有过,就是放在市区,也是徐汇滨江近20万/㎡的豪宅才有的!
社区配套上,配备了约1200㎡下沉会所,以及约1700㎡主题架空层,从体量上来说排得进嘉定新城前三!
功能上,会所配备私宴厅、瑜伽室、棋牌室、区域首创国标壁球馆、飞瀑园景健身房、嵌入式景观书吧等空间,其中健身品牌采用的是市区10万+同款的沃特罗伦高端健身器械品牌。
 
这个下沉式会所还搭载环幕级落地窗,在跑步、阅读的间隙抬头看到的是自然感的垂直飞瀑、错落有致的林荫灌木,令人赏心悦目。
 
部分楼栋架空层层高最高能达到约7.2米,物理意义上的“托举”楼栋,使得低区业主也能享受到更多阳光与美景。项目在架空层设计了休闲卡座、水吧台、会客区等不同功能分区,打造成一个社区文化艺术、邻里交流与休憩场所。
 
与招商康定项目同款的阳光地库,设计感拉满,引入自然天光,搭配安第斯雪景奢石背景墙,外环外少有项目能与之匹敌!
不论是外立面还是社区景观以及会所,都属于衡量新房品质的风向标,而招商林屿湖畔,放眼同价位段,可谓其中优等生。
Part.3
远香湖CAZ最后一块纯宅地
地标云集,约1km内高能级配套齐聚
招商林屿湖畔,是真正意义上的远香湖畔黄金宅地,位于远香湖CAZ内,也是这个片区内的最后一块纯宅地。(注:根据现有规划)
 
实地踩盘可以看到,招商林屿湖畔周围的城市界面是非常整齐崭新的。项目售楼处对面就是上实商业,内有龙海集市和上实实荟阁高端公寓。
 
步行500多米即可到达达宝龙广场,步行900多米就是TSF购物中心,足以满足日常生活的各种娱乐消费需求。
 
教育资源更是给力,地块附近约500米就是上海实验学校嘉定新城分校,周边还有新城实验二小、交大附属九年一贯制等名校,为孩子的成长提供了优质的教育环境。(注:相关教育设施仅为介绍周边教育资源,并不承诺为划片学区)
距离瑞金北院也仅800多米,这是一所三家综合性医院,完善的医疗配套为居民的健康保驾护航。
远香湖周边更是有著名的“网红三件套”:占地约1.21平方公里远香湖公园,建筑大师安藤忠雄担纲设计,国内首家拥有水景剧场的保利大剧院,曾获评2013年“全球最佳公共图书馆”的嘉定图书馆!
 
配套上,商业、教育、医疗、文化,远香湖片区不仅非常齐全,且能级都很高,现成配套无需等待兑现;规划上,远香湖CAZ也是五大新城中唯一一个,未来嘉定的天际线,100-300米的摩天大楼地标群就在地块旁,将建设文化环、未来塔、活力谷等城市新地标建筑!(信息来源:上海嘉定)
 
众所周知,作为特殊战略空间的“五个新城”,未来将成为上海城市发展的重要引擎,为城市注入新的生机。而在五大新城中,嘉定新城以遥遥领先的GDP、与市区更近的距离、约40%绿化率的优势等,成为置业的超高性价比之选。
 
而远香湖CAZ作为嘉定新城的发展核芯,在十四五规划中,被明确规划为国际住区、大型商业集群、摩天地标集群、科创科研企业集群、国际教育文化等功能集聚复合区,未来也将成为嘉定新城的综合功能中心、城市形象的集中展现区,总投资约200亿元。
围绕着嘉定“产城融合、招商引业”的目标,远香湖CAZ内将建成嘉定最大的总部园区,目前,国北科技首建金融中心(嘉定新城首个5G覆盖的超甲级智能化数字商务总部)、世界500强海螺创业等8家企业总部于此落户,集成经济发展力量的第一方阵。(信息来源:上海发布)
 
选择招商林屿湖畔,就是选择了与城市地标为邻、与全维配套+高能级资源接轨的潮流生活,作为远香湖CAZ最后一块纯宅地(注:根据现有规划),招商林屿湖畔,错过不再!
优质教育+高端商业+文化地标+湖景资源
嘉定新城远香湖CAZ片区
区域品质天花板项目
招商林屿湖畔三期上新建档中!
加推建面约122㎡小高层、160-165㎡叠墅
 
 
 
 
招商林屿湖畔售楼处电话:4008800703【售楼中心热线】招商林屿湖畔营销中心热线400-880-0703招商林屿湖畔售楼处地址400-8800-703,楼盘项目全面介绍,本电话为开发商提供线上预约售楼电话,楼盘项目全面介绍(包含楼盘简介,均价,房价,现房,期房,别墅,叠墅,大平层,价格,楼盘地址,户型图,交通规划,备案价,备案名,项目配套,样板间,开盘时间,认筹时间,楼盘详情,售楼处电话,最新消息,最新详情,周边配套,一房一价,最新进展等详情咨询)楼盘详情丨价格丨更多优惠丨机不可失丨欢迎致电丨诚邀品鉴!售楼处位置丨特价房丨工抵房丨剩余房源丨户型图丨最新消息丨免责声明:将文章内容综合来源于网络、只作分享,版权归原作者所有!!如有侵权,请联系我们,我们第一时间处理如有问题欢迎来电咨询,专业一对一热情服务,让您用专业眼光去买房。如果您想了解更多楼盘详情,欢迎提前预约拨打招商林屿湖畔售楼处电话400-880-0703
声明:本文由入驻焦点开放平台的作者撰写,除焦点官方账号外,观点仅代表作者本人,不代表焦点立场。
 
  
  
 
 
  
  
  
  