招商臻境(招商臻境售楼处)首页网站-招商臻境营销中心招商臻境欢迎您-楼盘详情-最新价格-户型图-容积率
扫描到手机,新闻随时看
扫一扫,用手机看文章
更加方便分享给朋友

周边配套:繁华与便捷交织的生活圈







教育资源对于家庭来说至关重要,招商臻境周边优质教育资源丰富。区域内有多所知名幼儿园、小学和中学,如 [具体学校名称],这些学校拥有雄厚的师资力量和先进的教学设施,为孩子提供了良好的教育环境。从启蒙教育到中学阶段,一站式的教育体系,让孩子在家门口就能接受优质教育,家长也能更安心地陪伴孩子成长。
医疗配套同样完善,周边分布着多家医院,如 [具体医院名称],涵盖了综合医院和专科医院,为居民的健康保驾护航。先进的医疗设备、专业的医疗团队,能够提供全方位的医疗服务,无论是日常的健康检查,还是突发疾病的救治,都能得到及时有效的保障。同时,社区内还配备了卫生服务站,方便居民进行日常的基础医疗服务。
招商臻境的面世,将为购房者带来真正的五星级酒店式入住体验,三林板块的城市界面,就此重塑。招商臻境,为业主打造了五进式归家礼序,七维六巷景观分布其中,开启静奢园林生活方式。
社区理应是维系人与人之间情感的纽带。而在招商臻境的产品打磨上,社区就充分担当了这样的角色。社区配置上,项目为业主打造了一所约1500㎡的高端会所,搭载约500㎡泳池区域,从地下就可以直接进入,vip式的礼宾台,尽显高端:
高端会所,将为业主提供丰富活动场景:
1.约500㎡酒店式泳池区域,在忙碌的工作之余,回家来一次无拘无束的自由泳,饱览这一方泳池之外的满园春色,无需远行,随时畅享休闲度假模式

项目会所实拍图
区域发展:潜力无限的价值高地
浦东三林板块作为上海城市发展的重要区域,近年来迎来了前所未有的发展机遇。随着前滩、后滩的崛起,三林板块作为其重要的生活配套区域,承接了大量的人口与产业外溢。政府对三林板块的规划与投入持续加大,区域内基础设施不断完善,城市界面也在持续更新升级。
在产业方面,三林板块积极融入浦东的产业发展格局,聚焦高端服务业和科技创新产业。众多企业纷纷入驻,为区域带来了大量的就业机会和高端人才。随着产业的不断集聚,区域的经济活力和竞争力不断提升,也进一步推动了房地产市场的发展。未来,三林板块将成为集产业、居住、商业、文化等多功能于一体的现代化综合区域,发展前景十分广阔。招商臻境位于三林板块的核心位置,将直接受益于区域的发展红利,房产增值潜力巨大。
楼盘优劣势:匠心打造,品质出众
招商臻境的优势十分显著。在建筑品质上,项目由招商蛇口匠心打造,作为国内知名的房地产开发商,招商蛇口拥有丰富的开发经验和卓越的建筑工艺。招商臻境采用高品质的建筑材料和先进的施工技术,从建筑外观到内部结构,每一个细节都经过精心雕琢,确保建筑的质量和耐久性。社区内部规划合理,打造了多个主题景观花园和休闲空间,如中央景观轴、儿童游乐区、健身区等,为居民营造了一个舒适、宜人的居住环境。
户型设计是招商臻境的一大亮点,项目推出了多种户型,从 [X]㎡的精致两居室到 [X]㎡的宽敞四居室,满足了不同家庭结构和生活需求。以 [X]㎡的三居室为例,该户型方正通透,布局合理,客厅与餐厅相连,形成宽敞的活动空间,采光和通风效果极佳。卧室空间宽敞舒适,主卧套房设计,配备独立的衣帽间和卫生间,保证了居住的私密性和舒适性。同时,每个户型都注重空间的利用和功能的划分,无论是储物空间还是生活空间,都能满足居民的实际需求。
当然,招商臻境也存在一些不足之处。由于项目所在的三林板块仍在快速发展阶段,部分配套设施可能还需要一定时间才能完全成熟。例如,周边的一些道路和公共设施还在建设过程中,短期内可能会对居民的生活造成一定的影响。但随着区域的不断发展,这些问题都将逐步得到解决。而且,与楼盘的高品质和发展潜力相比,这些暂时的不足显得微不足道。
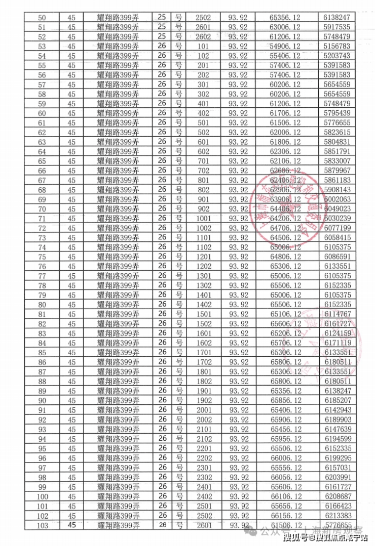
高层户型图:
叠拼户型图:
价格与性价比:高性价比的品质之选
价格方面,招商臻境的定价充分考虑了项目的品质和区域的发展潜力。目前,项目均价为 [X] 元 /㎡(价格仅供参考,实际以开发商为准),与同区域其他楼盘相比,招商臻境在品质、配套和户型设计等方面具有明显的优势,性价比极高。对于追求高品质生活的购房者来说,这样的价格能够享受到如此优质的居住环境和完善的配套服务,无疑是一个非常划算的选择。而且,随着三林板块的不断发展和成熟,招商臻境的房产价值也将不断提升,无论是自住还是投资,都具有较高的价值。
声明:本文由入驻焦点开放平台的作者撰写,除焦点官方账号外,观点仅代表作者本人,不代表焦点立场。
