中国铁建·西派云间(2025中国铁建·西派云间更新发布)首页网站-中国铁建·西派云间楼盘测评-中国铁建·西派云间户型配套
扫描到手机,新闻随时看
扫一扫,用手机看文章
更加方便分享给朋友
中国铁建·西派云间售楼处电话:400-8800-703✔✔✔(已认证)
中国铁建·西派云间售楼处线上预约看房热线电话:400-8800-703(24小时热线含专属置业顾问)
中国铁建·西派云间售楼处24小时vip热线☎:400-8800-703【开发商售楼处预约看房热线】
看房请提前致电预约,联系销售人员获取最新一房一价表,开发商销售人员将详细介绍每个户型的独特设计和优势,带您参观样板间,感受精装修的品质和温馨氛围。您还可以了解周边配套设施,包括高端购物中心、优质学校和便捷交通网络,让您的居住体验更加完美。
 
 
 
 
 
 
 
 
 
 
 
中国铁建·西派云间售楼处电话:400-8800-703✔✔✔(已认证)
中国铁建·西派云间售楼处线上预约看房热线电话:400-8800-703(24小时热线含专属置业顾问)
 
 
中国铁建·西派云间售楼处电话:400-8800-703✔✔✔(已认证)
中国铁建·西派云间售楼处线上预约看房热线电话:400-8800-703(24小时热线含专属置业顾问)
具体认购信息如下:
● 认购时间:2025年9月27日-2025年10月1日
● 开盘时间:10月12日
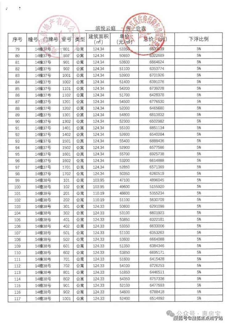
一房一价👇
«上下滑动查看»
 
 
 
 
 
中国铁建·西派云间售楼处电话:400-8800-703✔✔✔(已认证)
中国铁建·西派云间售楼处线上预约看房热线电话:400-8800-703(24小时热线含专属置业顾问)
01、
基本信息
5月9日,上海第四批次土拍,中国铁建以总价247082万元竞得松江区SJC10006单元C03A-04号地块,溢价率20.42%,折合楼板价25288元/㎡,装修标准不小于2500元/㎡。
地块东至茸吉路,南至河道,西至河道,北至规划路,为普通商品房用地,地块出让面积42480.63㎡,容积率2.3,建筑面积97705.449㎡。
 
根据方案,将打造7栋4层叠加别墅+10栋10-17层高层,其中部分高层楼栋的首层做了架空设计,10号楼南侧做了下沉庭院。总户数760户,机动车停车位965个,车位比约为 1:1.27。
地块出让面积42480.63㎡,容积率2.3,建筑面积97705.449㎡,建筑限高50米,沿茸兴路、茸盛路局部设置60米,中小套型占比45%,装标集采价不低于2500元/㎡。
 
 
 
 
 
中国铁建·西派云间售楼处电话:400-8800-703✔✔✔(已认证)
中国铁建·西派云间售楼处线上预约看房热线电话:400-8800-703(24小时热线含专属置业顾问)
当市场仍在追求入户大堂的奢华,西派云间已构建 “城市—河流—社区” 的三阶归家礼序。独创的双桥跨水入户系统,凌驾于碧波之上,行人踏桥而过时,城市喧嚣被流水隔绝,归家的静谧与尊崇感油然而生。这种场景的递进,不仅是空间的切换,更是情绪的自然转化,让每一次归家都成为一场穿越风景的仪式。
 
西派云间售楼处电话:400-8800-703 打破 “空间内造景、场景外隔绝” 的传统模式,以 “无界底盘” 设计消弭空间边界。社区园林并非孤立的景观节点,而是通过步道、平台与内部空间贯通 —— 客厅阳台可俯瞰叠瀑,漫步道串联河岸与会所,让自然成为生活的延伸,重拾西派系 “场域精神” 的本质。
 
摒弃常规项目的平面化绿化,西派云间以 “折叠手法” 打造立体叠瀑森屿。约10米高差的坡地之上,水流从云端倾泻而下,形成层次分明的叠瀑景观;植被随高差错落分布,乔木、灌木与花草构成垂直生态系统。这种设计不仅提升景观的视觉冲击力,更实现生态功能叠加 —— 雨水可自然渗透,微气候更显宜人,艺术美学与实用价值在此完美融合。
 
中国铁建·西派云间售楼处电话:400-8800-703✔✔✔(已认证)
中国铁建·西派云间售楼处线上预约看房热线电话:400-8800-703(24小时热线含专属置业顾问)
借鉴城市“中央车站”的先进理念,西派云间实现使用主体由【车】向【人】的重新定义,将社区服务核心转向 “人的需求”。社区入口区域汇聚人行、车行、快递、家政等多元动线,却互不干扰;周边配套的便民服务站、生鲜自提点等设施,以 “人” 为核心布局,让居民无需绕行即可享受便捷服务。这种对 “人” 的关注,重新定义了社区服务的逻辑,让生活品质在细节中持续进化。
 
约2000㎡的高定会所,并非传统意义上的 “社交附属品”,而是以 “家的延伸” 为定位。内部融合海派国际美学与多元功能场景设计,让其成为高定圈层生活方式平台,为人的需求持续革新场景,超越居者对高端生活的期待。
 
 
 
中国铁建·西派云间售楼处电话:400-8800-703✔✔✔(已认证)
中国铁建·西派云间售楼处线上预约看房热线电话:400-8800-703(24小时热线含专属置业顾问)
 
 
西派云间售楼处电话:400-8800-703 即将上市的两大主力户型 —— 建面约148㎡云阙、建面约125㎡云曜,也在盛典中释放更多系统化优势。不同于传统户型对 “面积” 的追求,两款户型以 “场景适配” 为核心,为不同家庭提供精准的奢居解决方案。
建面约148㎡云阙:改善旗舰,定义豪宅级生活尺度
作为西派云间的改善标杆,建面约148㎡云阙以 “四大核心优势” 构建奢居标准。
其一,一梯一户奢享阳光电梯厅,兼具尊崇与私密性,归家仪式感从入户前即开启;
其二,四开间朝南+3.05米层高,搭配超大窗墙比,让阳光最大化涌入室内,空间通透感远超同面积段产品;
其三,LDKG 一体化设计,将客厅、餐厅、厨房与阳台融合,形成约34㎡的超大会客厅,6.8米南向大横厅可灵活改造X空间(改造后),满足家庭影院、亲子互动等多元需求;
 
西派云间的终极改善户型,南向双阳台+可改造的灵动空间,这个会客厅的尺度高达约34㎡。而一般市区约200㎡的大平层也不过是这个尺度感。
 
同样一梯一户的设计,只不过大户型的独立电梯厅会更大,并且是阳光电梯厅,采光视野通透,也能容纳更多的生活想象。
 
除此之外,边套的建面约145㎡拥有约270°无柱景观飘窗,大幅拓展空间与视野,采光通透感拉满。
 
并且,整个主卧套房设计,还配置了豪华的主卫空间。
 
中国铁建·西派云间售楼处电话:400-8800-703✔✔✔(已认证)
中国铁建·西派云间售楼处线上预约看房热线电话:400-8800-703(24小时热线含专属置业顾问)
餐厅面宽与客厅同宽,可摆放多人位的圆形餐桌,轻松容纳全家人用餐。
建面约125㎡云曜:奢尺四开间,全面迭新生活想象力
针对松江新政后改善家庭的需求,建面约125㎡云曜以 “稀缺性” 与 “高性价比” 成为焦点。
作为松江板块罕见的四开间朝南三阳台户型,三开间卧室朝南,搭配多阳台与飘窗,采光与通透感无可比拟;一梯一户设计,同样赋予独享梯厅的尊崇体验。
空间上,约6.8米南向大横厅(市面同面积户型多为3.5米)(改造后)搭配3米层高(新规后松江首个3米层高产品),营造堪比大平层的开阔气场;横厅连接近10㎡朝南阳台,兼顾洗衣晾晒与休闲观景;北向3.85米面宽餐厅与厨房等宽,备餐时可与家人互动,生活的烟火气与品质感互不冲突。
 
尺度感上:这是新政后松江板块首个四开间朝南、且不封阳台的三阳台户型。
光着3个阳台的面积就高达约15㎡,还有5个飘窗,这个套内可实际使用的面积可能堪比曾经约140㎡左右的大户型了。
实用性上:由于3阳台的设计,项目的4间房间尺度感都非常惊人,可以满足多胎家庭和三代同堂的全生命周期需求。
尤其是北次卧,面积约9㎡,几乎对标同类竞品的主卧大小了,结合北向景观飘窗,视觉上增加室内通透度,提升空间利用率。
 
并且,南次卧独立阳台的隔断墙为非承重墙,可进行灵活改造。如果不想要四房,那可以打通改造成一个约6.8米南向大横厅。
 
这个尺度感足以容纳一场大型的家庭Party,是遥遥领先于同面积段产品的。
 
私密性上:项目是一梯一户的设计,预留了独立电梯厅。
这个电梯厅集收纳、私密、仪式感于一体,从业主踏进家门的第一步,就能感受到那份专属的尊崇感和私密性。
 
中国铁建·西派云间售楼处电话:400-8800-703✔✔✔(已认证)
中国铁建·西派云间售楼处线上预约看房热线电话:400-8800-703(24小时热线含专属置业顾问)
除此之外,项目是双玄关收纳,穿过高端定制铸铝装甲门,就是套内玄关,可以满足日常收纳需求,实用性拉满。
 
 
松江新城盛势崛起1997年,松江提出建设约12.2平方公里松江新城示范区;
2016年,上海“十三五”规划提出将松江新城打造为上海五大新城之一;
2025年,以《2025年松江新城发展行动方案》为蓝图,将松江新城打造成为现代化新城建设样板区。(信息来源:松江档案、上海市人民政府官网、上海发展改革公众号)
 
上海战略西南极 长三角科创策源地 4000载松江,上海之根、沪上之巅、浦江之首,是海派精神源脉,是上海率先开发的新城板块,以“现代化新城建设样板区”为定位,持续向上进阶。
 
中国铁建·西派云间售楼处电话:400-8800-703✔✔✔(已认证)
中国铁建·西派云间售楼处线上预约看房热线电话:400-8800-703(24小时热线含专属置业顾问)
【超级枢纽】综合节点城市战略支点松江枢纽,长三角一体化发展国家战略和长三角G60科创走廊重要引擎。随着上海第三大高铁站“松江站”启用,实现长三角80%以上城市高效覆盖,激发强劲经济辐射效应。(数据来源:上海松江官方公众号)
【超级科创】长三角G60科创走廊策源地松江是唯一被纳入国家发展规划的创新走廊,截止2024年底,松江拥有规上工业企业数量达1718家,连续三年位居全市第一,凭借独特“2+7”产业体系,致力打造为上海科创重要增长极。国家高新技术企业,占长三角约39%,占全国约13.3%。
独角兽企业数量占全国比重约12%
已入驻世界500强企业超40家,8个超5亿元项目,部分重点企业占长三角超50%
(数据来源:上海松江官方公众号、长三角G60科创走廊)
 
【超级人文】上海TOP级人才沃土约8000亩松江大学城,长三角G60科创走廊“大学城双创集聚区”核心载体,拥有“国家重点学科引领+产学研深度融合”创新生态体系,是长三角人才输送中心,为区域发展强势赋能。汇聚7所高校、18个国家重点学科、49家国家和省部级科研平台
每年有约5万名毕业生,占全市约20%
(数据来源:上海松江官方公众号)
 
中国铁建·西派云间售楼处电话:400-8800-703✔✔✔(已认证)
中国铁建·西派云间售楼处线上预约看房热线电话:400-8800-703(24小时热线含专属置业顾问)
【超级公园】上海罕见国际花园城市松江新城坐拥5大公园集群,以“水为肌体山为裳、林为纽带园为佩”为设计定位,将整座城市包裹在山水绿意中。佘山国家森林公园、辰山植物园、广富林郊野公园、五龙湖公园、松江中央公园
生态水岸占比达约80%,建成区美丽街区覆盖率达约50%
规划公园绿地约500米服务半径覆盖率提高达90%以上
(数据来源:松江经委官方公众号、上海松江官方公众号)
【配套价值】从芯开始 立派时代EBD松江新城国际生态商务区
【新城之芯】城市未来极核 约3个徐家汇商圈 松江新城国际生态商务区,总用地面积4.14平方公里,一个集高端商务办公,大型商业配套,文化娱乐,生活居住等为一体的低碳、环保、生态的多功能商务区。(数据来源:上海松江官方公众号)
 
【学府之芯】一梯队上外云间 优渥教育滋养西派云间直距“上外云间学校”仅约100米,是一梯队公办名校;同时紧邻中山幼儿园、规划初中等教育资源,满足一站式优质教育需求。(数据来源:百度测距)
 
【生活之芯】高品质配套资源 丰盛环绕商业:万达广场、五龙商业广场、上海松江凯悦酒店、上海富悦大酒店等公园:五龙湖公园、EBD中央公园、广富林东路休闲公园等交通:地铁9号线、有轨电车T2线、茸兴路、广富林路、沪松快速路(预计2028年竣工)等办公:三迪曼哈顿、上海富悦财富广场、开天大厦、久银中心、双高世贸广场等。
 
中国铁建·西派云间售楼处电话:400-8800-703✔✔✔(已认证)
中国铁建·西派云间售楼处线上预约看房热线电话:400-8800-703(24小时热线含专属置业顾问)
中国铁建·西派云间售楼处24小时vip热线☎:400-8800-703【开发商售楼处预约看房热线】
看房请提前致电预约,联系销售人员获取最新一房一价表,开发商销售人员将详细介绍每个户型的独特设计和优势,带您参观样板间,感受精装修的品质和温馨氛围。您还可以了解周边配套设施,包括高端购物中心、优质学校和便捷交通网络,让您的居住体验更加完美。
声明:本文由入驻焦点开放平台的作者撰写,除焦点官方账号外,观点仅代表作者本人,不代表焦点立场。
 
 
 