2025年·海玥黄浦源 (海玥黄浦源售楼处电话) 上海海玥黄浦源首页网站-海玥黄浦源楼盘详情 /户型细节/楼盘价格/售楼处位置
扫描到手机,新闻随时看
扫一扫,用手机看文章
更加方便分享给朋友
海玥黄浦源售楼处电话:400-8800-703
上海海玥黄浦源24小时vip热线☎:400--8800--703

高区景观实拍
人民广场旁 一手现房【海玥黄浦源】
高区大平层277㎡、281㎡ 俯瞰苏河湾与城市中轴,无遮挡极致视野;
一线滨水小高层303㎡三面环景,得房率高达80%;
195㎡、217㎡ 、237㎡ 空间方正,动静分区,满足主流改善需求;
无论是家庭换房、资产配置,还是纯改善需求,都能在这里找到匹配答案。
总价2500-6600万 现房 直接定!
会所实拍
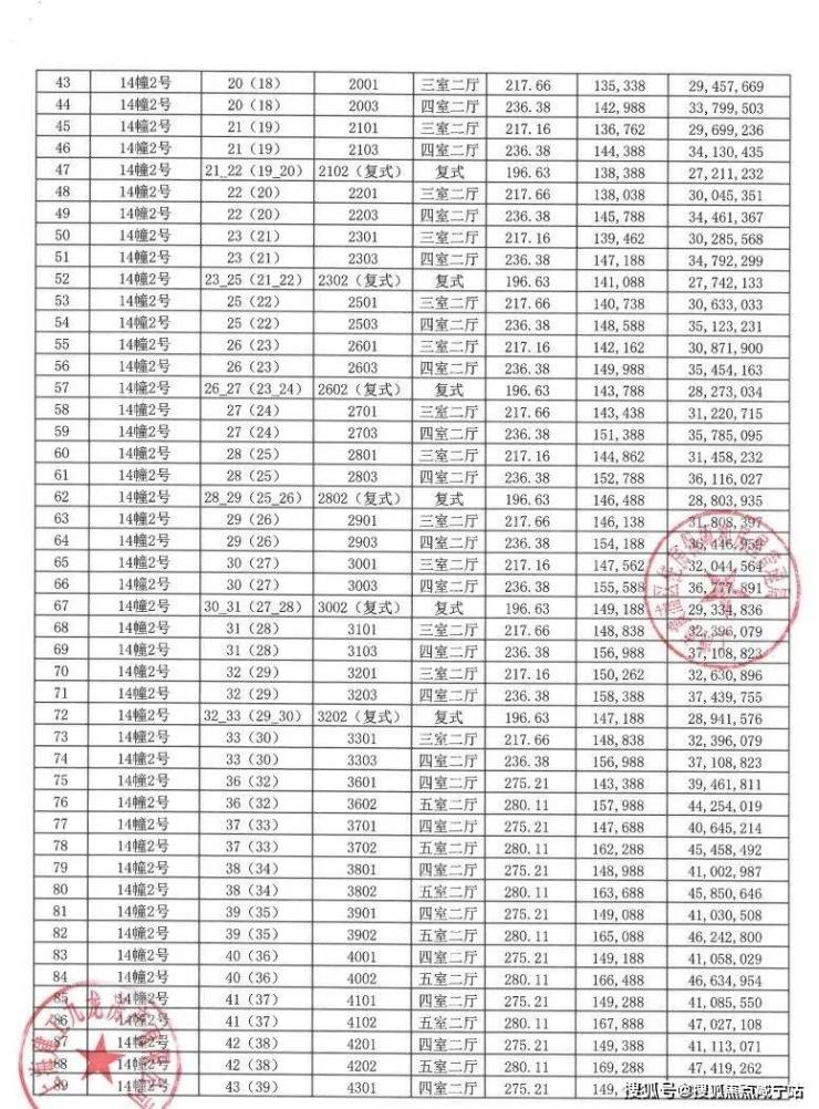
黄浦内环内、人民广场板块,上海建工集团“正黄浦”纯豪宅项目——海玥黄浦源三期售楼处电话:400-8800-703,项目8、2号栋楼涵盖建面约94-402㎡多种户型,主力户型303㎡五房4月17号明日开启认购!
其中2#为超高层,北向可观小区绿化和苏河景观,高区可瞰三件套盛景。
项目效果图,以实际呈现为准
4#是16层小高层,为项目楼王,也是市心真正限量款、收藏级产品。
我们来简单分析一下:
1、论臻稀性:
在市心超高层成为供应主力的背景下,小高层显得尤为稀缺,是市心金字塔尖端的物业。
可以大胆预测,黄浦未来的小高层就那么几栋,卖一栋少一栋。
何况,项目4#还是临苏州河的小高层,价值更上一层。
划重点:项目小高层只有48套,错过再无!

2、论未来价值:
物以稀为贵,小高层在市中心竞品少,执掌独立定价权,房价更容易走出独立行情。
3、论居住舒适度,小高层是市心独一档产品。
▶得房率高达约81%。
要知道,如今市面上的新房得房率普遍在约75%左右。
换算一下:
同样一套建面约302㎡房源,海玥黄浦源多出约18㎡实际使用面积。
用14万/㎡换算,那可是约252万的真金白银。
▶该栋楼南向可观3000㎡中央景观绿化;中间户型6层以上北可观苏州河景,且两侧都能看见苏州河景。
可见4#大部分楼层都直面苏州河,这栋楼的景观视野放在当下新房市场是独一份的,只有48套,错过再无!
项目效果图,以实际呈现为准
▶该栋楼拥有尊贵感、舒适度、使用率MAX的户型。
建面约193、237㎡为类一梯一户设计,拥独立门厅;建面约302㎡标配两梯一户,排面和仪式感全部All in。
主卧堪称星级套房,配置独立衣帽间、双台盆+淋浴空间+大浴缸。
另外,安排多重收纳,让每一个空间都能高效利用。

此外,项目从建筑高度、外立面、品质等都剑指上海地标级豪宅。
海玥黄浦源一号地块由1幢小高层和3幢超高层组成,最高的1号楼建成后将高达约165米(项目1、2号楼均提前实现结构封顶),这个高度既刷新了黄浦天际线,更超过了汤臣一品、华侨城苏河湾等超高层住宅。
这一地标属性,也为项目增添了一份收藏价值,以及油然而生自豪的身份感。
而登高之后,你就能明显感受到超高层住宅的景观优势。
华灯初上,外滩恢弘夜景、陆家嘴三件套闪耀的璀璨灯光、“恒梅泰”商圈摩天大楼灯光流转变幻,脚下街角巷陌霓虹闪烁,你所能想到的关于上海的亮眼景色,都被一一收入眼底。
在外立面上,项目与外滩万国建筑博览群的建筑风格一脉相承,为ARTDECO风格,三段式立面,塑造出有立体感的韵律天际线。
材质方面不计成本采用古铜色、深灰色+铝板、镜面铝板的完美搭配,再镶嵌竖向线条和立面层次,威仪肃穆。
另外,项目内部围合起近3000㎡的开放式绿地。
项目效果图,以实际呈现为准

因为寸土寸金,市中心项目不会有太集中的中心景观。
而海玥黄浦源,因地制宜进行“一星四叶”的建筑排布,围合出了市心罕见的约3000㎡集中景观。
值得一提,项目北侧紧邻九子公园、苏州河景观步道等,这就形成了内外双绿地的格局,为高净值人士营造了市中心难得“出则显、入则藏”的居住氛围,可一键从繁华快生活切换到诗意慢生活。
海玥黄浦源直线南京西路“恒梅泰”只有约1.5公里,自行车即可达。
约2.5公里内涵盖南京东路、人广来福士、外滩、新天地、淮海路、老城厢等顶级商圈和地标。
南京西路商圈实景图
这些地标大多可通过地铁抵达,项目周边汇聚1号线新闸路站、13号线上海博物馆站。
不仅商业浓度惊人,项目周边更是网红地标林立,比如人民公园、自然博物馆、上海博物馆、上海大剧院、静安雕塑公园等市政配套。

上海大剧院实景图
另外,上海优质医疗资源也都集中在附近,项目步行范围有长征医院(三甲综合),仁济医院西院(三甲综合),3公里范围选择更丰富,多所全国排名前列的医院,实属顶配。
海玥黄浦源绝对地段和配套浓度是你后期花再多钱都买不到的。
市中心大部分区域发展已固化,未来比拼更多是城市更新势能的竞争。
典型如新天地,那类似新天地的巨变还有吗?
有!且将是超越新天地的存在!
据市规划和自然资源局介绍,上海现存规模最完整的成片广式石库门建筑群——东斯文里将全面启动城市更新。
来源上海发布
超越新天地不是我定义的,而是官微上海发布的标题!
而官微之所以有这样的判断,是因为无论是定位、规模、能级还是业态,东斯文里都全面超越新天地!
①定位:东斯文里将打造滨水高端金融枢纽地!
事实上,整个市中心除聚集高端金融业的除了陆家嘴、外滩金融城,下一个金融高地就是东斯文里。
根据规划,东斯文里将以“人文百年斯文里,静安苏河金融湾”为愿景,将打造成为苏州河沿岸重要的高端金融枢纽地、艺术文创集聚区、城市文化标志区和多元活力展示区。
而为了承载这些高端产业,区域集中设置顶级品质商务楼宇,形成高低错落、疏密有致的建筑空间格局和新旧呼应的风貌特质。
更新单元概念效果图 设计单位:查普门泰勒
②规模能级:被苏州河贯穿,规模高达约80公顷的滨水城市更新!
东斯文里的总用地面积高达约90.05公顷,其中涉及风貌保护建筑量就有约6万方,绝对的大手笔。
更重要的是,比起新天地,东斯文里内含稀缺的生态资源——苏州河。
围绕这一天赋,东斯文里加入了大量生态休闲元素,宜居属性指数级提升。

斯文绿谷是区域的亮点,这里采用立体复合式的空间结构,是聚客核心,也是多元活动场所,向四周辐射人流。
它东西结合历史里弄与当代高层建筑,南北连接静安雕塑公园与滨水景观,不同氛围延伸至此,相互碰撞影响,将成为公共艺术浸润的诗意空间、文旅商娱集聚的文化地标、绿色低碳开放活力的金融湾区、彰显创新富于创意的科创峡谷。
更新单元概念方案效果图 来源:査普门泰勒建筑设计事务所
③业态:旧而新生,新旧共生!超越新天地张园的时尚街区蓄势待发!
要知道,东斯文里所在的区域规划酝酿了十多年,吸取新天地、张园等前辈经验,将站在巨人肩膀上再超越。
东斯文里涉及风貌保护建筑量约6万方,规划明确,要在保护整体历史风貌肌理格局的原则下,创新设计,手法也极其多样,有风貌保护、修缮、改造等,为旧的空间格局打造全新未来。功能业态也是多元复合的,设计引入石库门风貌酒店,创意办公,合院办公,艺术街坊,重现往日活力。
内中环预计17万+,那黄浦的上限远远不止17万+,这些都大大加剧了收藏海玥黄浦源的紧迫性,不到15万/㎡买上海正中心,机遇稍纵即逝!且这次楼王产品登场,小高层+直面苏州河,臻稀性更上一层。

海玥黄浦源
海玥黄浦源售楼处电话:4008800703【售楼中心热线】海玥黄浦源营销中心热线400-880-0703海玥黄浦源售楼处地址400-8800-703,楼盘项目全面介绍,本电话为开发商提供线上预约售楼电话,楼盘项目全面介绍(包含楼盘简介,均价,房价,现房,期房,别墅,叠墅,大平层,价格,楼盘地址,户型图,交通规划,备案价,备案名,项目配套,样板间,开盘时间,认筹时间,楼盘详情,售楼处电话,最新消息,最新详情,周边配套,一房一价,最新进展等详情咨询)楼盘详情丨价格丨更多优惠丨机不可失丨欢迎致电丨诚邀品鉴!售楼处位置丨特价房丨工抵房丨剩余房源丨户型图丨最新消息丨免责声明:将文章内容综合来源于网络、只作分享,版权归原作者所有!!如有侵权,请联系我们,我们第一时间处理如有问题欢迎来电咨询,专业一对一热情服务,让您用专业眼光去买房。如果您想了解更多楼盘详情,欢迎提前预约拨打海玥黄浦源售楼处电话400-880-0703
买房是人生中的一件大事,但对于大多数人来说,尤其是第一次买房的朋友,这个过程可能会让人感到迷茫和焦虑。市场上充斥着各种信息,真假难辨,稍不留神就可能掉进“坑”里。别担心!这篇文章将为你提供一份详细的买房避坑指南,从选房到入住,手把手教你避开那些常见的雷区。
一、买房前的准备工作:知己知彼,百战不殆
1. 明确自己的需求
买房前,首先要问自己几个问题:
- 你是刚需还是投资? 如果是刚需,优先考虑交通便利、生活配套齐全的区域;如果是投资,则要考虑升值潜力。
- 你对房子的面积、户型有什么?要求 三室两厅还是两室一厅?南北通透还是其他布局?
- 你的预算范围是多少? 包括房价、税费、装修费等。
明确需求后,才能有的放矢地去选房。
2. 调查市场行情
- 了解房价走势:通过房产网站、中介或朋友推荐,掌握目标区域的房价水平及涨跌趋势。
- 关注政策动态:比如限购、限贷、首付比例等政策变化都会影响你的购房计划。
- 比较不同楼盘:同一区域内不同楼盘的价格、品质、开发商背景等都有差异,货比三家才能买到性价比高的房子。
3. 准备好首付和相关费用
- 首付:一般为房价的20%-50%,具体比例因城市和政策而异。
- 税费:契税、维修基金、交易手续费等都需要提前准备。
- 装修预算:如果买的是毛坯房,装修费用也需要纳入考虑。
二、选房阶段:细节决定成败
1. 地段是关键
- 交通便利:尽量选择地铁沿线或公交站点附近的小区。
- 生活配套完善:周边是否有超市、医院、学校、银行等设施。
- 未来发展潜力:比如是否靠近 CBD、新区或规划中的大型商业综合体。
2. 房屋本身的质量
- 户型设计:采光、通风、动静分区是否合理。
- 房屋结构:检查是否存在裂缝、渗水等问题。
- 隐蔽工程:如水电管道、墙体保温等,可以通过物业或邻居了解。
3. 开发商和物业公司
- 开发商资质:选择信誉良好的品牌开发商,避免买到烂尾楼。
- 物业公司口碑:好的物业公司能保障小区的安全和环境整洁。
三、看房阶段:眼见为实
1. 实地考察
- 看样板间:注意样板间的装修是否过度美化,与实际交付差距有多大。
- 看实体楼:观察建筑外观、施工进度、周边环境等。
- 看小区环境:绿化率、停车位数量、公共设施是否齐全。
2. 询问业主
- 如果是二手房,可以向邻居了解小区的管理情况、是否存在安全隐患等。
- 如果是新房,可以向已入住的业主了解交房质量和物业服务。
四、签约阶段:合同条款要仔细
1. 确认合同内容
- 房屋面积:建筑面积、套内面积是否与宣传一致。
- 交房时间:明确交房日期及违约责任。
- 装修标准:如果是精装房,要明确装修材料的品牌和档次。
- 附加条款:比如车位、储物间等是否包含在房价中。
2. 注意隐藏费用
- 物业费:了解物业费的收费标准及包含的服务内容。
- 维修基金:这笔费用通常由业主缴纳,用于房屋共用部位的维修。
五、收房阶段:验房是关键
1. 验房注意事项
- 检查房屋质量:墙面、地面、天花板是否有裂缝或脱落。
- 检查门窗:开关是否顺畅,密封性是否良好。
- 检查水电设施:水龙头、马桶、电路开关是否正常。
- 检查配套设施:电梯、消防设施、燃气管道等是否齐全。
2. 索要相关证件
- 房产证:确认产权归属是否清晰。
- 竣工验收报告:确保房屋符合国家标准。
六、入住阶段:后续事项要做好
1. 办理落户和过户手续
- 及时办理房产过户手续,确保自己的权益。
- 如果需要落户,提前咨询当地派出所的落户政策。
2. 装修注意事项
- 选择正规装修公司:避免低价陷阱。
- 签订装修合同:明确工期、材料、付款方式等细节。
3. 注意邻里关系
- 入住后主动与邻居打招呼,建立良好的邻里关系。
- 遵守小区公约,避免噪音扰民。
结语
买房是一项复杂的系统工程,从选房到入住的每一个环节都可能隐藏着“坑”。但只要做好充分的准备工作,保持清醒的头脑,就能避开这些雷区,买到心如意的房子称。希望这篇文章能为你提供一些实用的参考,让你的买房之路更加顺利!
声明:本文由入驻焦点开放平台的作者撰写,除焦点官方账号外,观点仅代表作者本人,不代表焦点立场。
